Introduction To Probability Grinstead Snell Pdf
- Posted in:Admin
- 07/02/18
- 74
Donor challenge: A generous supporter will match your donation 3-to-1 right now. Your $5 becomes $20! Dear Internet Archive Supporter: Time is Running Out! I ask only once a year: please help the Internet Archive today. We’re an independent, non-profit website that the entire world depends on. Our work is powered by donations averaging about $41. If everyone chips in $5, we can keep this going for free.
For the cost of a used paperback, we can share a book online forever. Inpout32 Dll Serial Port Examples. When I started this, people called me crazy.

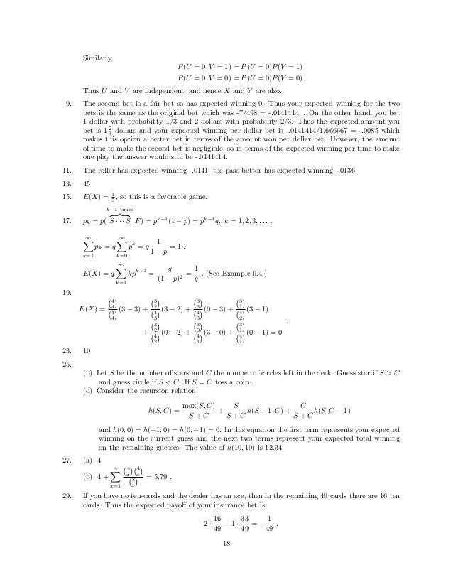
[PDF] solution manual introductory probability paul. Introduction To Probability Grinstead Snell Pdf Free, Stochastic Process Sheldon Ross Solution Manual. Charles Miller Grinstead et James Laurie Snell, Introduction to Probability, American Mathematical Soc., 1. Wallis, Regional Frequency Analysis: An Approach Based on L- Moments, Cambridge University Press, 1. Browse and Read Introduction To Probability Solutions Manual Grinstead Snell Introduction To Probability Solutions Manual Grinstead Snell Some people may be.

Collect web pages? Who’d want to read a book on a screen?
For 21 years, we’ve backed up the Web, so if government data or entire newspapers disappear, we can say: We Got This. The key is to keep improving—and to keep it free. We have only 150 staff but run one of the world’s top websites. Al Anon Pamphlets Pdf File. We’re dedicated to reader privacy. We never accept ads.
Building Dwelling Thinking Martin Heidegger Pdf Creator more. But we still need to pay for servers and staff. The Internet Archive is a bargain, but we need your help. If you find our site useful, please chip in. —Brewster Kahle, Founder, Internet Archive. Donor challenge: A generous supporter will match your donation 3-to-1 right now. Your $5 becomes $20!